Renewable Heating Design | John Siegenthaler
How to use H-pattern bypass valves
Through or around

There are lots of choices when it comes to hydronic heat emitters. They range from cast-iron rads to fin-tube baseboard, to fan-coils and all types of radiant floor, wall and ceiling panels. They all have their “sweet spot” applications depending on water temperature, aesthetic preferences, project budget, construction materials, etc.
One of my favorite heat emitters are “compact style” panel radiators. In Europe, you’ll see them everywhere; they’re accepted as part of normal “interior culture,” much like a microwave, flat screen TV, and - dare I say - floor registers are consider necessary and normal by many North Americans.
I like compact style panel radiators for several reasons.
First, they emit both radiant and convective heat output. The percentage of radiant output is a function of water temperature and panel design. Panel rads operated at low water temperatures (in some cases lower than 100 ºF), and with minimal fins attached to the rear of the water plate, can emit upwards of 50% of there total output as radiant heat. Those warm front surfaces (see thermal camera image in figure 1) increase the room’s mean radiant temperature, which significantly improves thermal comfort.
Figure 1. Image courtesy of John Siegenthaler
Second, panel radiators have low thermal mass allowing for rapid changes in heat output. This is important for two reasons. One is the time required to establish comfort in a space after a period of lower temperature. The other is the time required to stop emitting heat and thus avoid overheating due to unscheduled internal heat gains from people, sunlight or other sources.
Third, they are relatively light, easy to install on wall brackets, easy to connect to 1/2” tubes routed up through the floor, and easily fitted with non-electric thermostatic operators. The latter, in combination with a very small variable-speed circulator running 24/7 during the heating season, makes each radiator an independent zone.
Compact style panel radiators have bottom connections spaced 50mm (2 inches) on center. Heated water enters the left connection and flows up through an internal tube that leads to an internal valve as shown in figure 2.
Figure 2. Image courtesy of John Siegenthaler
After passing through this valve the water spreads out across the radiator’s upper manifold, flows down through multiple vertical channels called “flutes,” collects at the radiator’s lower manifold, and exits the radiator through the right connection at the bottom.
It’s important not to create reverse flow through the radiator’s valve core by inadvertently flip-flopping the tubing connections. Doing so will lead to flow noise and “thud” sounds when high velocity reverse flow forces the valve’s disc onto its seat.
Figure 3. Image courtesy of John Siegenthaler
The core of the internal valve used in compact style panel rads is shown in figure 3.
This core contains a spring that pushes out on its shaft. When the shaft is fully extended, the shutter through which all flow passes is fully open. When the shaft is pushed all the way in (about 4-5 mm), the shutter is fully closed.
The valve core also has a ring with numbers of 1-7, and the letter N. These correspond to Cv values ranging - approximately linearly - from Cv= 0.15 at a setting of 1, to Cv=0.7 at a setting of 7. The Cv at the “N” setting, where the orifice in the valve insert is fully open, is 0.83. The Cv of the valve insert can be set by turning the ring to align one of these numbers with the groove. In Figure 3, the letter “N” on the red ring is aligned with the grove on the gray valve core body, meaning that the valve’s shutter (seen at the far end of the core) is fully open.
To each its own
The most common method of piping multiple panel radiators is a “homerun” system as shown in figure 4.
Figure 4. Image courtesy of John Siegenthaler
Figure 5. Image courtesy of John Siegenthaler
This piping puts all the panel rads in parallel. Each receives water at essentially the same temperature. This layout also allows the flow rate in each parallel circuit to be adjusted, either at the radiator or using a balancing valve on the manifold station.
Each radiator is equipped with an “H-pattern” dual isolation valve as seen in figure 5.
This assembly contains two ball valves that can be closed with a screwdriver to isolate the panel radiator from the remainder of the system. Half unions at the top of the valve allow for easy connection to the radiator.
A variation
In situations where the panel radiators are widely distributed throughout a building, the amount of 1/2” PEX, PERT, or PEX-AL-PEX tubing necessary to homerun each radiator back to a single manifold station can really add up. So can the number of holes required through floor framing to put all that tubing in place. Long piping runs add to both material and labor cost.
One way to reduce the tubing requirements without giving up the benefit of individual heat output control at each radiator, is to create a “1-pipe” assembly in which 2 or 3 compact style panel radiators appear to be piped in series as shown in figure 6.
Figure 6. Image courtesy of John Siegenthaler
If you look closely at the H-pattern valve in figure 6, you’ll see that it contains a larger “bridge” between the two vertical isolation valves compared to the small bridge on a dual isolation valve in figure 5. That bridge contains a bypass valve, which can be adjusted by removing the cap and using a 6 mm Allen wrench to turn the stem. The setting of the bypass valve determines the hydraulic resistance between the inlet and outlet sides of the valve. The greater this resistance, the greater the flow rate through the radiator. Even when the thermostatic operator on a radiator is completely closed, the bypass valve allows some flow to pass and potentially supply heat to another radiator located downstream on the same 1-pipe string.
Figure 7 shows the Cv of the center bypass valve for one specific H-pattern valve.
Figure 7. Image courtesy of John Siegenthaler
The flow that passes through the panel radiator depends on the Cv of the radiator valve as well as the Cv setting of the bypass valve. It can be calculated as a fraction of the flow entering the valve using formula 1.
Formula 1. Image courtesy of John Siegenthaler
Where:
frad = flow rate through the radiator (gpm)
ftotal= total flow entering the valve’s left side port (gpm)
Cvrad = Cv setting of the radiator valve
Cvbypass = Cv setting of the bypass valve
The value of the terms shown in blue in formula 1 can be thought of as the decimal percentage of total flow entering the 1-pipe valve that passes through the radiator.
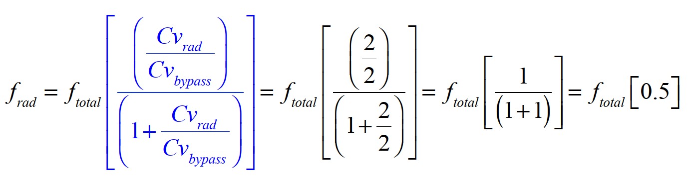
If the Cv of the radiator valve is the same as that of the center bypass valve (2.0 for example), the blue portion of formula 1 becomes:
Image courtesy of John Siegenthaler
The means that 50% of the flow rate entering the 1-pipe valve passes through the radiator, and the remaining 50% passes through the bypass valve.
If the Cv of the radiator valve was 0.25, and the Cv of the bypass valve was 1, formula 1 would be as follows:
Image courtesy of John Siegenthaler
This implies that 20% of the total flow entering the valve passes through the radiator, while the remaining 80% passes through the center bypass valve.
Some H pattern bypass valves come preset so that approximately 35% of the flow entering the valve passes through the radiator, while the remaining 65% pass through the bypass valve. This default setting is usually acceptable when three identical panel radiators are piped in a 1-pipe string. However, when radiators of different sizes are connected in a 1-pipe string the percentage of the total flow passing through a given radiator should be approximately proportional to the design heat output of that radiator as a percentage of the total design heat output of the “string” consisting of two or three radiators.
For example: Consider a 1-pipe string of two panel radiators. One is sized for a design heat output of 5,000 Btu/hr, the other sized for a design heat output of 8,000 Btu/hr. The total heat output of the string would be 5,000 + 8,000 = 13,000 Btu/hr. The percentage of total flow through the 5,000 Btu/hr radiator would be 5,000 / 13,000 = 0.38 or 38% of the total flow. The remaining 62% of total flow would pass through the other radiator.
Assuming that the integral valve assembly in both radiators was set to “N”, the Cv of the radiator valves would be 0.83. Set up a slightly rearranged version of formula 1 to determine the necessary Cv of the bypass valve to achieve 38% of the total flow through the smaller (5,000 Btu/hr) radiator:
Image courtesy of John Siegenthaler
This formula can be solved to get the value of Cvbypass:
Referencing figure 7 shows that opening the plug of the bypass valve 4.6 turns would yield a Cv of 1.35 for the bypass valve.
Respect the limits
Although a 1-pipe string arrangement of panel radiators saves tubing and likely reduces installation time, it also creates a temperature drop from each operating radiator to any downstream radiator(s). Lower water temperatures entering the downstream radiators will reduce their heat output. This effect can be calculated, and the size of the downstream radiator can be increased, if necessary, to ensure adequate heat output.
1-pipe strings should be limited to approximately 10 KW (34,130 Btu/hr) total design output to avoid excessive temperature drop as well as high head loss through the string. As a rule, 1-pipe strings using H-pattern bypass valves should be limited to no more than 3 panel radiators. One or more 1-pipe strings can be served from a common manifold along with other radiators that are piped individually, as shown in figure 8.
Figure 8. Image courtesy of John Siegenthaler
Another design tool
H-pattern bypass valves have been used in the European hydronics market for decades, but to date, are relatively unknown in the North American market. They provide another design option, especially when the logistics of piping each radiator on its own homerun circuit are constrained by routing distance, structural limitations or other issues. Keep them in mind when scoping out your next panel radiator project.
Looking for a reprint of this article?
From high-res PDFs to custom plaques, order your copy today!






