Injection mixing from thermal storage

Figure 1. With injection mixing, the two fluid streams come together in a tee rather than within a valve. This fundamental concept is shown in Figure 1. Graphics courtesy of John Siegenthaler

Figure 2. Common hardware arrangements include a modulating two-way valve as well as with a variable-speed pump. These are shown in Figure 2. Graphics courtesy of John Siegenthaler

Figure 3 shows a typical piping detail for injection mixing using a variable-speed pump along with formulas that govern the rate of heat transfer. Graphics courtesy of John Siegenthaler

Formula 1 can be used to calculate the rate of heat input to the distribution system if the injection flow rate, as well as the temperature of the fluid being injected, and the temperature of the fluid on the return side of the distribution system are known. Graphics courtesy of John Siegenthaler

Formula 2 is a rearrangement of Formula 1. It can be used to calculate the injection flow rate required to establish a specified rate of heat transfer into the distribution system. Graphics courtesy of John Siegenthaler

Formula 3 can be used to calculate the mixed fluid temperature supplied to the heat emitters at sensor (S1). Graphics courtesy of John Siegenthaler

Figure 4 shows one way to configure a variable-speed injection pump in combination with a thermal storage tank. Graphics courtesy of John Siegenthaler

It’s also possible to use multiple (and identical) injection circulators in parallel, as shown in Figure 5. When multiple and identical injection pumps are configured as shown in Figure 5, only one needs to be speed-controlled. Graphics courtesy of John Siegenthaler
Many hydronic-based renewable energy systems include thermal storage tanks. When the heat input is from solar thermal collectors or biomass boilers, it is possible for the water temperature in those tanks to reach temperatures of 180-200º F. Thermal storage tanks supplied by electric boilers operating on off-peak electricity also can reach these high temperatures by the end of the charging cycle.
Although few would argue a 500 gal. tank filled with 190º water doesn’t contain a lot of energy, the usefulness of that energy depends on the supply temperature required by the heat emitters to meet the building’s heating load. The lower this temperature, the greater the temperature drop the tank can undergo and thus the more useful energy it can deliver.
Aim low
In my opinion, all hydronic heating systems, with or without renewable energy heat sources, should be designed to supply design load output using a supply water temperature no higher than 120º. This upper threshold consistently is attainable by most renewable heat sources such as solar collectors, air-to-water heat pumps, geothermal water-to-water heat pumps and biomass boilers. It’s also complementary to systems using high-efficiency mod/con boilers.
There are several heat emitter options that allow designers to assemble low-temperature heating distribution systems. They include floor, wall and ceiling radiant panels, panel radiators, low-temperature fan coils, and even “low-temp” fin-tube baseboard.
Designers can combine multiple types of low-temperature heat emitters into the same system. One example would be a heated slab-on-grade radiant panel on the first floor of a building with individually controlled panel radiators on the second floor. The idea is to select a maximum supply water temperature for the entire system based on design-load conditions and then match the various heat emitters to the room loads based on their respective heat output rates at the selected supply temperature.
The combination of high-temperature water in thermal storage and low-temperature heat emitters necessitates some type of mixing assembly between these subsystems. There are several mixing options including thermostatically actuated and motorized three-way mixing valves or injection mixing using either a motorized valve or variable-speed injection pump.
The latter is a technique that, while available for more than 25 years and applied in many low-temperature systems supplied by conventional boilers, has not found frequent use in systems supplied by renewable energy heat sources. Many engineers immediately associate the need for mixing with mixing valves and are not familiar with variable-speed injection mixing as an option. And while mixing valves can certainly accomplish the intended task, there are scenarios where variable-speed injection mixing may be less expensive because it provides both fluid transport and mixing, thus eliminating the need for a circulator in combination with a mixing valve.
Hot in/Cool out
Injection mixing is simply a way to add hot water to a circulating hydronic distribution system while at the same time removing an equal amount of cooler water. Replacing cooler water with hotter water means heat is added to the circuit. When heat is added to a circuit, its rate of heat output increases. The faster hotter water is exchanged with cooler water, the greater the rate of heat output.
With injection mixing, the two fluid streams come together in a tee rather than within a valve. This fundamental concept is shown in Figure 1.
Any hardware assembly that can regulate the exchange of warmer water for cooler water is a potential means of injection mixing. Common hardware arrangements include a modulating two-way valve as well as with a variable-speed pump. These are shown in Figure 2.
The temperature sensor that provides feedback on the supply water temperature to the distribution system should be located downstream of the distribution circulator. This ensures complete mixing before the water passes by the sensor.
The math
The thermodynamics associated with injection mixing are simple and independent of the hardware being used. Furthermore, injection mixing is fully “scalable” from residential systems to large commercial systems where heat transfer rates can be several million Btu/h.
Figure 3 shows a typical piping detail for injection mixing using a variable-speed pump along with formulas that govern the rate of heat transfer.
The variable-speed injection pump can be located in either of the two injection “risers.” It can push heated fluid into the distribution system or push cooler water from the distribution system back to the heat-source circuit. The latter keeps the pump slightly cooler.
The injection risers connect the heat-source circuit to the distribution system. The closely spaced tees at these connections provide hydraulic separation between all three circulators. This is critically important since the variable-speed injection pump is often operating at a much lower speed than the other two circulators.
Hot water passes through the red injection riser at a rate determined by the speed of the injection pump. Since the distribution system is completely filled with fluid, and equal flow rate of cooler water exits the distribution system through the other (blue) injection riser, the heated water enters the downstream tee in the distribution system and mixes with a portion of the cooler fluid that has passed through the upstream tee. These two fluid streams mix together to determine the mixed fluid temperature supplied to the heat emitters.
The formulas shown in Figure 3 are all based on conservation of mass and heat balances.
Formula 1 can be used to calculate the rate of heat input to the distribution system if the injection flow rate, as well as the temperature of the fluid being injected, and the temperature of the fluid on the return side of the distribution system are known.
Formula 2 is a rearrangement of Formula 1. It can be used to calculate the injection flow rate required to establish a specified rate of heat transfer into the distribution system.
Formula 3 can be used to calculate the mixed fluid temperature supplied to the heat emitters at sensor (S1).
A distinct advantage of injection mixing is the hardware regulating the mixing only has to handle the injection flow rate (fi), rather than the full distribution system flow rate (fd). If the heated water being injected is significantly hotter than the temperature of the water returning from the heat emitters, the injection flow rate can be quite small relative to the distribution flow rate.
For example: Assume water at 180º is available from the heat source and that the distribution system serves radiant floor heating circuits that operate with a supply water temperature of 100º at design load conditions with a corresponding return water temperature of 85º. Also assume distribution system flow rate is 10 gpm. Under these conditions the rate of heat dissipation by the distribution system is shown in Formula 1:

The required injection flow rate to transfer heat to the distribution system at this rate can be found using Formula 2 in Figure 3.

In this scenario the injection flow rate only is about 16% of the distribution flow rate. Such a small flow rate could easily be handled by a small circulator and 1/2-in. injection riser piping.
Thermal storage is not always hot
While high-temperature water from the heat source combined with a low-temperature distribution system is an ideal condition for injection mixing, such conditions aren’t always present when injecting from a thermal storage tank supplied by renewable energy heat sources.
For example, a thermal storage tank supplied by solar collectors might attain a temperature of 180º after a sunny and mild day, but might only be at 100º a couple cloudy days later. A thermal storage tank supplied by a pellet boiler might reach 190º at the end of a boiler firing cycle, but could drop to a much lower temperature as heat is extracted, but before the boiler fires for the next charging cycle. The latter condition is very desirable in that it allows for long boiler firing cycles.
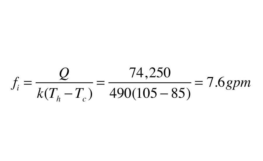
These conditions are not a problem provided the injection flow rate can increase as the temperature of the water from the heat source decreases. For example, we previously calculated an injection flow rate of only 1.6 gpm based on 180º water from the heat source. If the heat source could only supply 105º water and the same 100º supply/85º return temperature was to be maintained in the distribution system, the required injection flow rate would be:

The same rate of heat transfer (74,250 Btu/h) can be maintained under these conditions, provided the injection pump can achieve a flow rate of 7.6 gpm through the injection risers.
Tank as a heat source
Figure 4 shows one way to configure a variable-speed injection pump in combination with a thermal storage tank.
The thermal storage tank is set up as a “two-pipe” configuration. The piping supplying the load tees off from a short and generously sized header entering the upper sidewall connection on the tank. Return flow from the load ties into a similar header at the lower sidewall connection. The combination of these short and generously sized headers along with an extremely low dynamic pressure drop through the tank provide adequate hydraulic separation between the heat source circulator and the variable-speed injection pump.
The injection riser piping connects to the distribution system using closely spaced tees. These provide – you guessed it – hydraulic separation between the variable-speed injection pump and the distribution circulator.
A spring-loaded check valve with a forward-opening pressure of at least 0.5 psi is necessary to prevent unintentional flow through the heat source when the load is being supplied solely from thermal storage. This check valve also prevents reverse thermosiphoning from the tank back through the heat source circuit.
Maintaining control
The controller operating the injection pump could be set up to provide a fixed supply temperature to the distribution system. It could also be set up to vary the supply temperature based on outdoor reset control. The latter is preferred because it allows the thermal storage tank to be discharged to lower temperatures under partial-load conditions. Lower tank temperatures – provided they can create adequate heat output from the distribution system – allow for higher efficiency with renewable heat sources. Lower tank temperatures followed by “recharging” to preset higher temperatures using biomass boilers can provide significantly greater temperature swings in thermal storage and thus lengthen boiler cycles. Longer cycles improve combustion efficiency and reduce emissions from biomass boilers.
There are several low-cost controllers currently available that can vary the speed of wet-rotor circulators with permanent split capacitor (PSC) motors. They are appropriate for residential and light commercial applications where the injection circulator can be 1/6 HP or less.
Some commercial size wet-rotor circulators using electronically commutated motors (ECM) can be operated at variable speed using standard 2-10 VDC or 4-20ma control signals or tied directly to building automation systems using LONworks or BACnet protocol.
Large commercial systems can use variable-frequency drives to regulate the speed of larger circulators with high efficiency AC synchronous motors.
Gang tactics
It’s also possible to use multiple (and identical) injection circulators in parallel, as shown in Figure 5.
When multiple and identical injection pumps are configured as shown in Figure 5, only one needs to be speed-controlled. The others can be controlled as on/off. This array of circulators would operate like a multiple boiler system having one fully modulating boiler in combination with additional on/off boilers. The variable-speed circulator would ramp up as the load begins to increase.
Once the load increases beyond what can be supplied through the variable-speed injection pump at full speed, one of the on/off injection pumps would turn on and the variable-speed circulator would drop back to a low speed.
Assuming the load continues to increase, the variable-speed circulator ramps up again until two of the on/off pumps can be on and the variable-speed circulator drops back down to low speed. In theory, this control action could be used with any number of identical circulators, only one of which is speed controlled. This technique allows smaller wet-rotor circulators to be used to meet the design-load injection flow rates that are beyond the range of a single small circulator. It also may reduce cost relative to a single larger injection pump with a VFD control. It also can provide injection flow rates lower than what a single larger circulator may be able to achieve based on a typical VFD that only reduces motor speed into the range of 20-30% of full speed.
If you are working with renewable energy heat sources that involve thermal storage and low-temperature distribution systems, consider use of variable-speed injection mixing to shuttle heat between the tank and loads. It’s a reliable and cost-effective technique.
Looking for a reprint of this article?
From high-res PDFs to custom plaques, order your copy today!







